The photos you provided may be used to improve Bing image processing services.
Privacy Policy
|
Terms of Use
Can't use this link. Check that your link starts with 'http://' or 'https://' to try again.
Unable to process this search. Please try a different image or keywords.
Try Visual Search
Search, identify objects and text, translate, or solve problems using an image
Drag one or more images here,
upload an image
or
open camera
Drop image anywhere to start your search
To use Visual Search, enable the camera in this browser
All
Search
Images
Create
Inspiration
Collections
Videos
Maps
News
More
Shopping
Flights
Travel
Notebook
Top suggestions for Average Path Length Python
Python
Add Path
Python
File Path
Python Path
Windows
Python
Install Path
Path
Variable Python
Os.path
Python
Python.exe
Path
Relative
Path Python
Set Up
Python
Adding Python
to Path
How to Add
Python to Path
Python
2.7
How to Put
Python in Path
Как Добавить
Path Python
Run Python
Script
Python
Installer Path
Python
Absolute Path
Python
Addition
Python
Pathway
Python
Import Path
Python
Web App
Python Path
Selection
Python
Print Path
Python
File Open
Python
Default Path
Python Path
Ada
Python Path
Environment Variable
Python
Os.path.join
Python
SVG
Python
Cmd
Python
Packages
Specify Path
in Python
Python
File Example
Python
Pathlib Path
How to Open Python Shell
Get Current
Path Python
Python File Path
Syntax
Python
OS Module
Python
CMD Command
Python Path
Plot
Python
GUI
Python
Launcher
Download
Python Path
Python
Command-Prompt
Python
Error Path
Python
Command Line
Python
Directory Path
Python
Terminal
Stack
Python
Python
Learning Path
Explore more searches like Average Path Length Python
How
Find
What Is
Relative
Windows
11
Windows
10
Open
File
GUI
File
System
Print
Check
시스템 변수
추가
Changé
Sys
GetProject
Variable
Application
Meme
Explain
Planning
Fold
How
Set
Module
Setting
People interested in Average Path Length Python also searched for
Graph
Theory
Print
Sys
Browser
App
Find
Show
CWD
How
Check
Folder
Command
Diagram
Current
Autoplay all GIFs
Change autoplay and other image settings here
Autoplay all GIFs
Flip the switch to turn them on
Autoplay GIFs
Image size
All
Small
Medium
Large
Extra large
At least... *
Customized Width
x
Customized Height
px
Please enter a number for Width and Height
Color
All
Color only
Black & white
Type
All
Photograph
Clipart
Line drawing
Animated GIF
Transparent
Layout
All
Square
Wide
Tall
People
All
Just faces
Head & shoulders
Date
All
Past 24 hours
Past week
Past month
Past year
License
All
All Creative Commons
Public domain
Free to share and use
Free to share and use commercially
Free to modify, share, and use
Free to modify, share, and use commercially
Learn more
Clear filters
SafeSearch:
Moderate
Strict
Moderate (default)
Off
Filter
Python
Add Path
Python
File Path
Python Path
Windows
Python
Install Path
Path
Variable Python
Os.path
Python
Python.exe
Path
Relative
Path Python
Set Up
Python
Adding Python
to Path
How to Add
Python to Path
Python
2.7
How to Put
Python in Path
Как Добавить
Path Python
Run Python
Script
Python
Installer Path
Python
Absolute Path
Python
Addition
Python
Pathway
Python
Import Path
Python
Web App
Python Path
Selection
Python
Print Path
Python
File Open
Python
Default Path
Python Path
Ada
Python Path
Environment Variable
Python
Os.path.join
Python
SVG
Python
Cmd
Python
Packages
Specify Path
in Python
Python
File Example
Python
Pathlib Path
How to Open Python Shell
Get Current
Path Python
Python File Path
Syntax
Python
OS Module
Python
CMD Command
Python Path
Plot
Python
GUI
Python
Launcher
Download
Python Path
Python
Command-Prompt
Python
Error Path
Python
Command Line
Python
Directory Path
Python
Terminal
Stack
Python
Python
Learning Path
768×1024
scribd.com
Calculating Average Path L…
495×495
researchgate.net
Average path length vs shortest path length | …
640×1420
en.wikipedia.org
Average path length - Wikipe…
600×550
researchgate.net
Average path length and network average clusteri…
Related Products
Measuring Tape
Snake Statue
Leather Belt
424×316
researchgate.net
Average path length vs shortest path length | Download Scientifi…
850×525
researchgate.net
Average path length. | Download Scientific Diagram
679×159
researchgate.net
Comparison of maximum path length, minimum path length, and average ...
320×320
researchgate.net
Average Path Length Comparison | Downlo…
595×382
researchgate.net
Evolution of average path length. | Download Scientific Diagram
850×955
researchgate.net
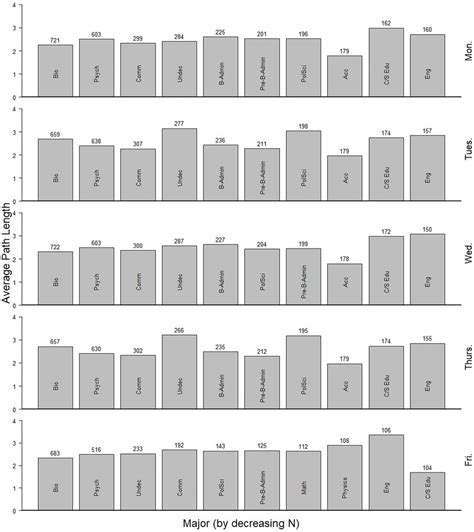
Average path length for students separated by maj…
850×608
researchgate.net
Average path length. | Download Scientific Diagram
678×473
researchgate.net
Average path length | Download Scientific Diagram
320×320
researchgate.net
Average path length | Download Scientific Diagram
Explore more searches like
Average
Path
Length
Python
How Find
What Is Relative
Windows 11
Windows 10
Open File
GUI File
System
Print
Check
시스템 변수 추가
Changé Sys
GetProject
600×561
researchgate.net
Average path length comparison. | Downloa…
258×258
researchgate.net
Compared Average Path Length | Downlo…
850×468
researchgate.net
Average path length (with/ without obstacles) | Download Scientific Diagram
600×577
researchgate.net
The average path length of successful query. | D…
600×497
researchgate.net
Path length. (a) Average path length. (b) Network diamete…
320×320
researchgate.net
Average path length varies over time. | Download Scie…
1248×768
socialdynamicshub.github.io
Basic Graph Theory: Average Path Length
1248×768
socialdynamicshub.github.io
Basic Graph Theory: Average Path Length
320×320
researchgate.net
Average path length (a). | Download Scientific Diagram
320×320
researchgate.net
Average path length (a). | Download Scientific …
267×267
researchgate.net
Average path length comparison | Downlo…
423×423
researchgate.net
Average path length of the graphs | Downloa…
850×683
researchgate.net
Average path length versus number of partitions | Downl…
850×431
researchgate.net
Average path length and average number of paths. | Download Scientific ...
320×320
researchgate.net
Simulation of average path length for four al…
320×320
researchgate.net
Average Path Length in Ground Network after …
850×702
researchgate.net
Average path length (with/without obstacles) | D…
850×242
researchgate.net
Values of the possible path lengths and the average path length ...
320×320
researchgate.net
Average path length variation of the networ…
People interested in
Average
Path
Length
Python
also searched for
Graph Theory
Print Sys
Browser
App
Find
Show
CWD
How Check
Folder
Command
Diagram
Current
850×664
researchgate.net
Average path length variation of the network | Download Scientific Diag…
850×452
researchgate.net
Average path length versus number of nodes | Download Scientific Diagram
714×497
researchgate.net
Average path length for different approaches and network topologies ...
Some results have been hidden because they may be inaccessible to you.
Show inaccessible results
Report an inappropriate content
Please select one of the options below.
Not Relevant
Offensive
Adult
Child Sexual Abuse
Feedback